間歇訓練的休息方式 : 需要動態休息嗎 ?

練中長跑、馬拉松,進行間歇訓練時的「休息」執行方式會影響訓練結果嗎?

休息時採取原地休息,或是慢跑休息是否會影響訓練的成效 ?

高強度間歇訓練其中一個目的是希望訓練時,身體處於較高攝氧量的狀態,以往採取「動態」恢復的方式,是希望休息時的代謝壓力仍維持較高的狀態,使攝氧量需求不要降下來太多,以期望跑下一趟的時候,攝氧量可以更快的到達目標區域,提升維持在高檔的攝氧量時間

你可以簡單這樣理解:

如果我們希望提升最大攝氧量,那麼訓練時強度就要往最大攝氧量靠近一點才能達到應有的刺激,並且預期動態恢復可以在這件事上有所幫助

https://hiitscience.com/hiit-recovery-insights

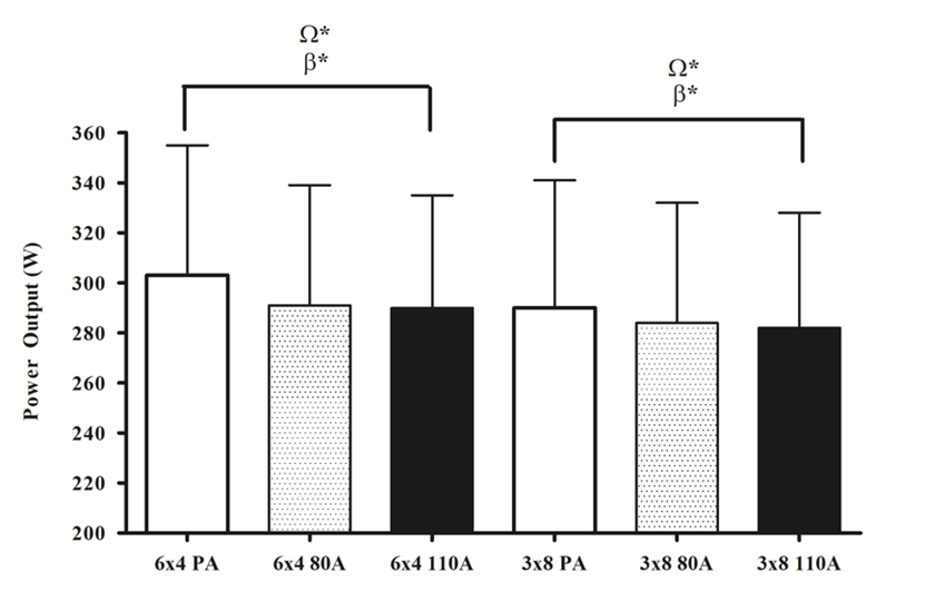
上方這篇研究比較了兩種長間歇,動態VS被動恢復的影響,研究取自這一篇 The acute physiological and perceptual effects of recovery interval intensity during cycling-based high-intensity interval training

結果發現 :

  1. 持續時間較長的間歇,功率輸出下降 (研究採用腳踏車的方式,換到跑步就是跑更慢了的意思)
  2. 動態休息模式可能讓休息不完全,導致下一趟表現變差 (被動休息,下一趟跑更快)
  3. 使用動態恢復並沒有顯著提升在較高%的攝氧量下時間,也就是基於此動態恢復不是必需的
  4. 訓練後測量的session RPE (0~10分計算) 動態恢復的方式比起被動恢復有較高的數值,也就是運動表現較差、也沒有累積更多的時間在較高的攝氧量區,但訓練後感覺更疲累

由此可知,如果目標是針對提升最大攝氧量、最大攝氧量下速度,是可以安排被動休息 (停留原地) 而不見得需要慢跑,且還要控制慢跑的速度,來做為組間的休息。

然而也會看到不少中長跑選手使用「動態休息」的方式來進行間歇訓練,我認為可行的原因為

  1. 假定你已經要控制執行間歇的強度,例如10趟400m 跑80秒,休息80秒,可能基於腿部目前無法負荷更快的速度 (肌肉、肌腱等組織無法負擔) 但又想漸進式提升訓練的挑戰,也許可以透過增加這個休息時的變項,讓被動休息變成主動休息,增加代謝壓力,可能可以讓你不用跑更快的情況下,促進耐力表現。
  2. 透過動態恢復,些許增加整體的訓練量。
  3. 透過動態恢復的方式,模擬比賽的情境。 例如快、慢跑交錯穿插,模擬田徑場上可能會遇到的情境。 但這樣可能也不全然是間歇訓練,比較像是便速度跑訓練,組間休息並不是真的在休息。

詳細可再參考下圖,或原始文章

Fennell CRJ, Hopker JG. The acute physiological and perceptual effects of recovery interval intensity during cycling-based high-intensity interval training. Eur J Appl Physiol. 2021 Feb;121(2):425-434. doi: 10.1007/s00421-020-04535-x. Epub 2020 Oct 23. PMID: 33098020; PMCID: PMC7862540.


已發佈

分類:

作者:

留言

發佈留言

發佈留言必須填寫的電子郵件地址不會公開。 必填欄位標示為 *